Агрегаты/насосы центробежные секционные - серии ЦНСг
Обращайтесь с заказами на подбор!

Нижегородская обл, Нижний Новгород, Московское шоссе 298
, 603079
Пн-Пт с 9:00 до 18:00
Сб с 10:00 до 17:00
Обращайтесь с заказами на подбор!

Насосы ЦНС, ЦНСг — это горизонтальные центробежные секционные (многоступенчатые) агрегаты. Поток жидкости последовательно проходит через несколько рабочих колёс, установленных на одном валу. Напор насоса равен сумме напоров всех ступеней.
Секционная конструкция позволяет изменять напор без изменения подачи — достаточно добавить или убрать секции (камеражи).
Промышленные многоступенчатые насосы ЦНСг предназначены для перекачки воды под большим давлением (отдельные модели создают напор до 50 атм.) с частицами размером не более 0,1 мм и не более 0,1% по объёму, и PH 7...8,5.
Применяются для закачки воды в котлы на ТЭЦ, для подачи воды в системах отопления или горячего водоснабжения. Максимальная температура воды - до +105°С.
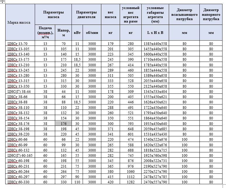
Технические характеристики:
Для обеспечения привода секционные насосы ЦНС, ЦНСГ комплектуются общепромышленным асинхронным двигателем. Как правило, в качестве электроприводов в агрегатах применяются электродвигатели со степенью защиты IP54 и IP23.
Материал проточной части секционных электронасосов — чугун.
Уплотнение насоса ЦНСГ: сальниковое или торцовое, торцовое уплотнение обязательно при перекачивании горячей воды температурой до 105 °C

Условные обозначения:
ЦНСг38-44 , где :
ЦНСг – центробежный насос секционный для горячей воды;
38 – номинальная подача, м3/ч;
44 – номинальный напор, м;
ЦНС38-44 , где :
ЦНС – центробежный насос секционный для холодной воды;
38 – номинальная подача, м3/ч;
44 – номинальный напор, м;
1ЦНСг 38-44-1 РР УХЛ4
Центробежный Насос Секционный для Горячей воды;
38 - подача, м3/ч;
44 - напор, м;
1-исполнение со шнеком (с улучшенными кавитационными характеристиками);
РР - направляющий аппарат (диффузор, профилированный канал течения среды) из полипропилена;
УХЛ - климатическое исполнение; 4 или 2 - категория размещения.